CO2 a relativní vlhkost vzduchu pro určení intenzity větrání
Přehrát audio verzi
CO2 a relativní vlhkost vzduchu pro určení intenzity větrání
00:00
00:00
1x
- 0.25x
- 0.5x
- 0.75x
- 1x
- 1.25x
- 1.5x
- 2x
Vhodnost koncentrace CO2 a relativní vlhkosti vzduchu jako sledovaných veličin určujících intenzitu větrání v budovách pro trvalý či dočasný pobyt osob.

Článek se zabývá problematikou vhodnosti veličin koncentrace oxidu uhličitého (CO2) a relativní vlhkosti (RH) vzduchu jako parametrů pro určení intenzity větrání v budovách určených pro trvalý či dočasný pobyt osob. Snahou je posoudit dané veličiny ve vnitřním prostředí obytných (rezidenčních), školských i kancelářských budov s ohledem na nastolení optimálního vnitřního prostředí, jinak anglickým termínem značeného jako IAQ (indoor air quality), pomocí intenzity větrání odvozené od jejich koncentrací.
Úvod
Kvalita vnitřního prostředí v budovách je klíčovým faktorem ovlivňujícím zdraví, pohodu i produktivitu uživatelů. Vzduchotechnické (VZT) systémy proto stále častěji využívají čidla kvality vzduchu, která umožňují řízení intenzity větrání na základě aktuálních koncentrací sledovaných veličin. Mezi nejběžněji sledované veličiny v budovách pro trvalý či dočasný pobyt osob patří koncentrace oxidu uhličitého (CO2) a relativní vlhkost (RH) vzduchu. Přestože obě tyto veličiny mohou sloužit jako vstupní parametry pro regulaci intenzity větrání, jejich charakter, výhody a omezení se významně liší.
CO2 a jeho koncentrace ve vnitřním prostředí
Oxid uhličitý je přirozená látka vyskytující se ve vzduchu. Ačkoliv se v běžných koncentracích nacházejících se uvnitř budov nejedná o škodlivinu (jen v případě vysoké koncentrace může navodit ospalost, snížené kognitivní funkce a dlouhodobé zdravotní problémy z důvodu spotřeby kyslíku při jeho metabolickém vzniku) [1], je všeobecně akceptován jako měřítko pro posouzení množství znečišťujících látek ve vnitřním prostředí určeném pro pobyt osob, protože:
- je produkován lidmi, takže při jeho zvýšeném výskytu je zároveň zvýšená koncentrace znečišťujících látek emitovaných lidmi jako jsou „lidské“ VOC – volatile organic compounds,
- je indikátorem přítomnosti lidí v prostoru, což znamená jejich vystavení znečišťujícím látkám produkovaným nezávisle na jejich pobytu, jakými jsou VOC ze stavebních materiálů, nátěrů a nábytku. [2]
Nicméně nelze považovat CO2 za komplexní indikátor kvality vnitřního prostředí, protože mnoho znečišťujících látek pocházejících z procesů vaření, kouření, koupání a uklízení stejně jako obecně vlhkost nacházející se ve vnitřním prostředí nemají silnou korelaci s výskytem CO2.
Koncentrace CO2 ve vnitřním prostředí a navazující legislativa
Protože je CO2 považován za dobrý ukazatel míry znečištění vnitřního prostředí obývaného lidmi, existují závazné právní předpisy a normová doporučení stanovující maximální přípustné hodnoty jeho výskytu v budovách. Pro představu efektu koncentrace CO2 na lidský organismus je přiložena tabulka níže.
| Koncentrace CO2 ve vnitřním prostřed | Účinky |
|---|---|
| 400 až 600 ppm | Bez negativních účinků – koncentrace CO2 ve venkovním ovzduší |
| 1 000 až 1 250 ppm | Bez negativních účinků – úroveň CO2 pro dosažení vysoké kvality vnitřního prostředí v prostorách určených pro pobyt osob |
| 1 500 ppm | Stále bez negativních účinků – doporučená maximální (dostatečná) hladina CO2 ve vnitřním prostředí |
| Nad 1 500 ppm | Úroveň, při které nastávají příznaky únavy a snížené pozornosti osob |
| Nad 2 500 ppm | Začínající pocity ospalosti, bolesti hlavy a únavy |
Tabulka 1 Koncentrace CO2 ve vnitřním prostředí a její vliv na člověka
Z legislativního hlediska je aktuálně platná nová vyhláška č. 146/2024 Sb., o požadavcích na výstavbu, která obsahuje údaj o pobytových místnostech. Dle jejího znění nesmí při pobytu osob koncentrace CO2 překročit 1 200 ppm [3]. Nicméně vzhledem k všeobecné inženýrské praxi by tímto způsobem došlo u obytných, školských i kancelářských budov ke zbytečnému naddimenzování celého systému VZT, což je v absolutním nesouladu s celkovou strategickou snahou snižovat energetickou náročnost budov.
Všeobecně je tedy prozatím brána v potaz starší vyhláška č. 268/2009 Sb., která stanovovala hranici 1 500 ppm [4], což navazuje na evropskou normu ČSN EN 16798-1. V jejím znění lze 1 500 ppm přepočítat jako hranici přijatelné kvality vnitřního prostředí mezi kategoriemi kvality vzduchu IDA 3 a 4 [5]. Touto koncentrací se nicméně řídí projekty školských a kancelářských budov. V případě obytných budov je všeobecně bráno za zásadní, aby byl splněn požadavek na minimální množství čerstvého vzduchu na osobu dle ČSN 15665/Z1 15 m3/h či požadavek na minimální intenzitu větrání 0,3 h−1. Hranice ppm se neřeší.
Relativní vlhkost a vodní pára ve vnitřním prostředí
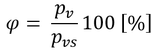
Vlhkost vzduchu lze vyjádřit několika způsoby. Pro účely převedení vlhkosti na parametr určující intenzitu větrání ve vzduchotechnice se nejčastěji používá veličina relativní vlhkost (RH či φ). Ta vyjadřuje míru nasycení vzduchu vodními parami:

kde představuje:
pv parciální tlak vodních par,
pvs tlak sytých vodních par, které jsou závislé na teplotě vzduchu.
V případech, kdy je zapotřebí vyjádřit bilanci vodní páry ve vzduchu, se používá měrná vlhkost (x) definovaná následujícím vztahem:
kde představuje p tlak vzduchu. Tlak vzduchu je obvykle uvažován 100 kPa.
Peder Wolkoff se ve svých publikacích věnoval vnitřnímu prostředí z hlediska vlhkosti a porovnal jednotlivé studie. Jeho závěrem bylo, že nelze zcela jednoznačně určit, zda je horším stavem příliš nízká nebo naopak příliš vysoká relativní vlhkost. Přestože jsou v budovách s výskytem osob evidovány stížnosti na oba stavy, ve skutečnosti bylo vždy odhaleno, že skutečným problémem je nevyhovující teplota a nedostatečné větrání. Obecně lze s ohledem na různé odborné publikace a technické normy uvést, že ideální vnitřní prostředí budov by se mělo pohybovat mezi 30–60 % RH [6] (pro pobytové prostředí je nově stanoven rozsah RH 30–65 % dle nařízení vlády č. 146/2024 Sb., o požadavcích na výstavbu) [3]. Subjektivní hodnocení kvality vnitřního vzduchu ve studiích prokázalo, že nejhůře je vnímán vzduch vlhký a teplý. Naopak nejlépe je vnímán vzduch chladný a suchý, který je vnímán lidmi jako čerstvý, i když může obsahovat velké množství škodlivin.
Produkce vodní páry a navlhčení vzduchu ve vnitřním prostředí
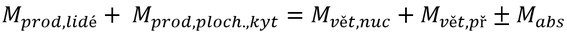
Ve vnitřním prostředí budov určených pro trvalý či dočasný pobyt osob dochází ke zvhlčování vzduchu přirozenou cestou samotnými osobami, jež se v dané budově nachází. Dle míry jejich aktivity se mění množství produkované vodní páry. Do celkové bilance přispívají také vodní plochy (odpar) a květiny (produkce vodní páry metabolickými procesy jako u lidí). Na obrázku níže můžeme vidět graficky znázorněnou bilanci vodní páry, kdy se část vyprodukované vodní páry (Mprod) sdílí do venkovního prostředí (Mdif), část je odváděna přirozeným a nuceným větráním (Mvět,nuc a Mvět,př) a poslední část je průběžně pohlcována či uvolňována stavebními materiály, nábytkem a vnitřním vybavením (Mabs). Novostavby či nedávno zrekonstruované objekty (například často školská zařízení) jsou obvykle difuzně uzavřené, takže Mdif může být z bilance zcela vynecháno. [6]
V případě obytných (rezidenčních) budov jsou nemalou složkou vlhkostní bilance běžné denní procesy jako jsou vaření, sprchování či koupání, úklidové činnosti apod., které citelně navyšují Mprod. Tyto složky v kancelářích a učebnách chybí. Sestavení rovnic vlhkostních bilancí pro jednotlivé typy v článku řešených budov s přihlédnutím na výše zmíněné informace by mohlo vypadat následovně:
- Pro obytné budovy je sestavena rovnice jako:
kde:
Mprod,lidé představuje stabilní zdroj vodní páry bez velkých výkyvů v rámci dne.
Mprod,procesy představuje zásadní složku vodní páry ve vlhkostní bilanci vycházející z procesů vaření, sprchování (koupání) a úklidových činností, které ovšem přichází pouze v určitých intervalech během dne (ranní a večerní hygiena, polední vaření o víkendu).
Mprod,ploch.,kyt představuje stabilní zdroj vodní páry v průběhu celého dne.
Mabs je složkou ve většině případů trvale odebírající vodní páru ze vzduchu ve vnitřním prostředí vzhledem k populárnosti dřevěných a dřevo obsahujících materiálů.
Mvět,nuc a Mvět,př značí větrání odvádějící vodní páru z vnitřního prostředí.
- Pro kancelářské budovy a školská zařízení (pro zjednodušení uvažujeme pouze prostory kanceláří a učeben bez kuchyněk či sprch, které jsou v těchto budovách často zcela oddělenými provozy z hlediska VZT) je sestavena rovnice jako:
kde:
Mprod,lidé představuje zásadní zdroj vodní páry pro oba typy budov, ale průběh je rozdílný. V případě kanceláří je zdroj stabilní během celé pracovní doby, na rozdíl od učeben, kde tento zdroj vodní páry kolísá s tím, jak se žáci přesouvají. Největší nárazovost se vyskytuje ve specializovaných učebnách.
Mprod,ploch.,kyt představuje stabilní zdroj vodní páry v průběhu celého dne v kancelářích i školských zařízeních.
Mabs je složkou nejvíce výraznou ve školských zařízení, protože současné trendy vybavování tříd hračkami, školními pomůckami a nábytkem ze dřeva a materiálů obsahujících dřevo na základě Montessori ideálů [7] přispívají k trvalému odběru vodní páry ze vzduchu, a tedy k zápornému přispění této složky do vlhkostní bilance.
Mvět,nuc a Mvět,př představují, stejně jako v případně obytných budov, větrání odvádějící vodní páru z vnitřního prostředí.
Jakou veličinu je tedy vhodnější sledovat?
Pro zodpovězení této otázky je nutné rozdělit budovy pro stálý či dočasný pobyt osob dle v úvodu uvedeného dělení na obytné (rezidenční), školské a kancelářské budovy. Každý z daných typů má svá specifika jak z legislativních hledisek (koncentrace CO2), tak z fyzikálních hledisek (rovnice vlhkostní bilance).
Obytné (rezidenční) budovy
S přihlédnutím k následujícím faktům:
- koncentrace CO2 ve vnitřních prostorách obytných budov není normově či legislativně řešena jinak než energeticky nesmyslnou vyhláškou č. 146/2024 Sb.,
- sledování ppm v obytných budovách není běžnou inženýrskou praxí,
- umístění čidla CO2 v rámci bytu či rodinného domu je vždy palčivým problémem,
- nutností je řešit nárazový nárůst vodní páry ve vzduchu při denních špičkách (vaření, osobní hygiena),
vše jednoznačně navádí řešit intenzitu větrání na základě hodnot od senzorů relativní vlhkosti. Ideální způsob je měřit RH kanálovými čidly uloženými v místech před vstupem znehodnoceného vzduchu do VZT jednotky, kde je průměrována celková RH celého bytu či rodinného domu. Oxid uhličitý je brán jako indikátor obsazenosti prostoru, která je v obytných budovách poměrně stálá a neměnná, takže pokud je zajištěna při běžném stavu, kdy není RH zvýšena náhlou špičkou, minimální intenzita větrání odpovídající 15 m3/h či 0,3 h−1, není potřeba se obávat zhoršené kvality vnitřního prostředí.
Kancelářské budovy
Z hlediska produkce vodních par se během typického pracovního dne neděje nic nepředvídatelného, takže není nutné vlhkost v prostoru nárazově řešit. Lidé na pracovišti jsou dominantním zdrojem znečišťujících látek, které sami produkují. Vzhledem k náplni kancelářské práce se navíc nepředpokládá nadměrné pocení vlivem těžké práce a z toho plynoucí vodní páry. Možný je naopak výskyt vícera osob na pracovištích z důvodů návštěv, jednání, školení, pohovorů atd., kdy senzory CO2 okamžitě zaznamenají tyto nenadálé situace a upraví dle koncentrace intenzitu větrání. Z energetického pohledu také dává smysl v kancelářských budovách sledovat koncentrace CO2, protože po standardních pracovních hodinách počet osob uvnitř dramaticky klesá, čímž se snižuje potřeba větrat. Legislativní hledisko je obdobné jako v předchozím případě, nicméně situace je odlišná, protože hygiena a pracovníci BOZP jsou zvyklí posuzovat vnitřní prostředí dle EN 16798-1 a v ní uvedených 1 500 ppm jako horní hranici přijatelné kvality vnitřního vzduchu.
Školská zařízení
Situace ve školách a školkách je srovnatelná s kancelářskými budovami se dvěma odlišnostmi. Nárazovost provozů je více citelná, protože mnoho učeben je využíváno pouze několik hodin denně, někdy třeba pouze některé dny z pracovního týdne. V jejich případě je instalace čidel měřících koncentraci CO2 zásadní pro šetření energií a pro „nepřevětrávání“ prostor. Fenomén „převětrávání“ je kromě obytných budov, kde je způsoben netypickým užíváním obydlí a častým předimenzováním VZT soustavy, problémem školských zařízení, protože v textu zmíněné Montessori pomůcky a snaha o „zelený“ přístup k výstavbě ve školství vede ke zvýšenému výskytu dřeva a dřevěných materiálů. Ty samy o sobě odvádí ze vzduchu vodní páru a tím vysušují vzduch. Pro správné soustředění dětí je nicméně nutné udržovat hladinu CO2 pod 1 500 ppm, což v zimních měsících znamená přivádět vzduch s nízkou relativní vlhkostí v případě VZT systému se ZZT, což vede k nutnosti stále častěji instalovat VZT jednotky nejen se ZZT, ale i se ZZV či zařízení umožňující aktivní vlhčení.
Závěr
Vhodnost veličin koncentrace CO2 a relativní vlhkosti vzduchu jako parametrů pro řízení intenzity větrání v budovách pro trvalý či dočasný pobyt je velice komplexní záležitost, která ještě není zcela probádána. Nicméně z článku je zřejmé, že k různým typům staveb je nutné přistupovat odlišně. Pro obytné (rezidenční) stavby je vhodné sledovat veličinu relativní vlhkosti, protože počet osob v rámci bytů a rodinných domů je poměrně stálý, ale produkce vodní páry je kolísavá a bývá tím největším problémem. To je přesný opak proti kancelářským budovám a školským zařízením, kde v průběhu dne kolísá počet osob, což je ideální pro využití čidel koncentrace CO2, která jsou schopná na tyto změny okamžitě reagovat a navýšit intenzitu větrání tak, aby bylo zaručeno kvalitní vnitřní prostředí. Naopak produkce vodní páry je více méně stabilní.
Literatura
- CO2 Sensor vs. VOC Sensor: What's the Difference? Online. CO2meter. 2025. Dostupné z: https://www.CO2meter.com/blogs/news/CO2-sensor-vs-voc-sensor. [cit. 2025-08-30].
- MORA, Rodrigo. Ventilation Effectiveness for Satisfactory Indoor Air Quality in Multi Unit Residential Buildings. 2023.
- Vyhláška č. 146/2024 Sb., o požadavcích na výstavbu. In: Sbírka zákonů. 2024.
- Vyhláška č. 268/2009 Sb., o technických požadavcích na stavby. In: Sbírka zákonů. 2009.
- ČSN EN 16798-1:2020. Energetická náročnost budov – Větrání budov – Část 1: Vstupní parametry vnitřního prostředí pro návrh a posouzení energetické náročnosti budov s ohledem na kvalitu vnitřního vzduchu, tepelného prostředí, osvětlení a akustiky – Modul M1-6
- ZMRHAL, Vladimír. Větrání obytných budov. Praha: Společnost pro techniku prostředí 2025, 2025. ISBN 978-80-02-03095-9.
- 5 důvodů, proč jsou v Montessori výchově důležité dřevěné hračky. Online. Utukutu. © 2025. Dostupné z: https://www.utukutu.cz/blog/drevene-hracky/. [cit. 2025-08-31].

Výrobce profesionální vzduchotechniky. Člen celosvětově působící skupiny vzduchotechnických výrobců a distributorů Soler & Palau Ventilation Group. Pro stavebnictví zajišťujeme dodávky centrálních větracích systémů s větracími jednotkami DUOVENT® ...
